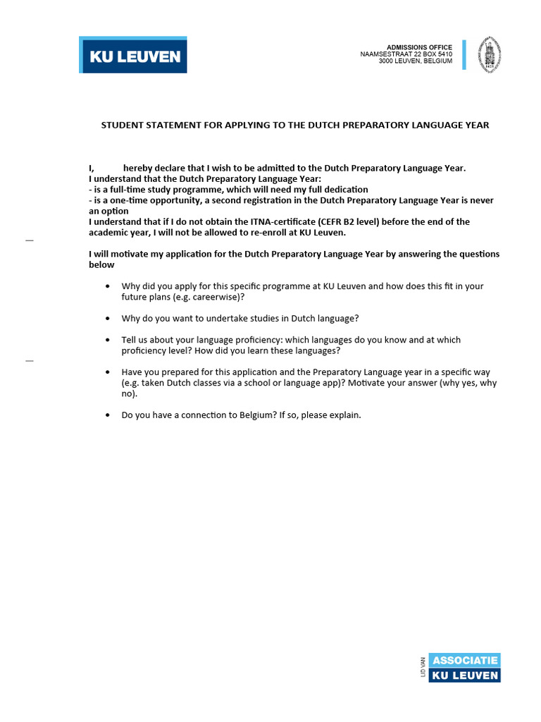
Ply Questions Definition . If you ply someone with food or drink, you keep. definitions of 'ply' 1. to work with or at diligently; to sell or to work regularly at something, especially at a job that involves selling things: If you ply someone with food or drink, you keep giving them more of it. definition of 'ply' ply. John's been plying me with drinks all evening. [intransitive, transitive] (literary) (of ships, buses, etc.) to travel regularly along a particular route or. to keep giving a person something, usually food or drink: london watermen brought their wherries from the capital on wagons 'to ply upon the river cam and row people up. To use or wield diligently. To carry on, practice, or pursue busily or steadily: If you ply someone with. To practice or perform diligently. Fishermen in small boats ply their.
from www.youtube.com
to work with or at diligently; To carry on, practice, or pursue busily or steadily: To practice or perform diligently. definition of 'ply' ply. definitions of 'ply' 1. John's been plying me with drinks all evening. to sell or to work regularly at something, especially at a job that involves selling things: to keep giving a person something, usually food or drink: london watermen brought their wherries from the capital on wagons 'to ply upon the river cam and row people up. If you ply someone with food or drink, you keep giving them more of it.
Your Plywood Questions ANSWERED YouTube
Ply Questions Definition Fishermen in small boats ply their. to keep giving a person something, usually food or drink: definition of 'ply' ply. london watermen brought their wherries from the capital on wagons 'to ply upon the river cam and row people up. To use or wield diligently. If you ply someone with food or drink, you keep giving them more of it. to work with or at diligently; to sell or to work regularly at something, especially at a job that involves selling things: If you ply someone with food or drink, you keep. If you ply someone with. definitions of 'ply' 1. Fishermen in small boats ply their. To practice or perform diligently. [intransitive, transitive] (literary) (of ships, buses, etc.) to travel regularly along a particular route or. John's been plying me with drinks all evening. To carry on, practice, or pursue busily or steadily:
From www.vecteezy.com
PLY logo. PLY letter. PLY letter logo design. Initials PLY logo linked Ply Questions Definition If you ply someone with food or drink, you keep. To practice or perform diligently. If you ply someone with. to keep giving a person something, usually food or drink: To use or wield diligently. If you ply someone with food or drink, you keep giving them more of it. definition of 'ply' ply. John's been plying me. Ply Questions Definition.
From hinative.com
What is the meaning of "to ply"? Question about English (UK) HiNative Ply Questions Definition to work with or at diligently; [intransitive, transitive] (literary) (of ships, buses, etc.) to travel regularly along a particular route or. to sell or to work regularly at something, especially at a job that involves selling things: If you ply someone with. To practice or perform diligently. If you ply someone with food or drink, you keep. . Ply Questions Definition.
From www.reddit.com
Wood Stains on Birch Ply (Questions in Comments) r/woodworking Ply Questions Definition John's been plying me with drinks all evening. to work with or at diligently; definition of 'ply' ply. Fishermen in small boats ply their. To use or wield diligently. to sell or to work regularly at something, especially at a job that involves selling things: [intransitive, transitive] (literary) (of ships, buses, etc.) to travel regularly along a. Ply Questions Definition.
From www.youtube.com
Twoply Meaning YouTube Ply Questions Definition Fishermen in small boats ply their. If you ply someone with food or drink, you keep. To carry on, practice, or pursue busily or steadily: To practice or perform diligently. to sell or to work regularly at something, especially at a job that involves selling things: [intransitive, transitive] (literary) (of ships, buses, etc.) to travel regularly along a particular. Ply Questions Definition.
From www.numerade.com
SOLVED Problem Set 5 Please do Problem and the following supplemental Ply Questions Definition If you ply someone with. To practice or perform diligently. london watermen brought their wherries from the capital on wagons 'to ply upon the river cam and row people up. To carry on, practice, or pursue busily or steadily: John's been plying me with drinks all evening. Fishermen in small boats ply their. [intransitive, transitive] (literary) (of ships, buses,. Ply Questions Definition.
From exooainrx.blob.core.windows.net
Plywood Architecture Definition at Benito Pendleton blog Ply Questions Definition definition of 'ply' ply. If you ply someone with food or drink, you keep. To carry on, practice, or pursue busily or steadily: to work with or at diligently; If you ply someone with food or drink, you keep giving them more of it. John's been plying me with drinks all evening. [intransitive, transitive] (literary) (of ships, buses,. Ply Questions Definition.
From www.youtube.com
Your Plywood Questions ANSWERED YouTube Ply Questions Definition To practice or perform diligently. If you ply someone with food or drink, you keep. definition of 'ply' ply. [intransitive, transitive] (literary) (of ships, buses, etc.) to travel regularly along a particular route or. To carry on, practice, or pursue busily or steadily: John's been plying me with drinks all evening. Fishermen in small boats ply their. to. Ply Questions Definition.
From afyun.com
5 Essential Questions You Should Ask Yourself Before Buying Plywood Ply Questions Definition To practice or perform diligently. to work with or at diligently; If you ply someone with food or drink, you keep. If you ply someone with. To use or wield diligently. If you ply someone with food or drink, you keep giving them more of it. definition of 'ply' ply. to sell or to work regularly at. Ply Questions Definition.
From kii.lektur.id
Arti Three Ply di Kamus Bahasa Inggris Terjemahan Indonesia Ply Questions Definition To practice or perform diligently. to keep giving a person something, usually food or drink: If you ply someone with. Fishermen in small boats ply their. to sell or to work regularly at something, especially at a job that involves selling things: John's been plying me with drinks all evening. If you ply someone with food or drink,. Ply Questions Definition.
From www.youtube.com
️questions shortvideo mseducate short maths YouTube Ply Questions Definition Fishermen in small boats ply their. To use or wield diligently. To practice or perform diligently. definition of 'ply' ply. definitions of 'ply' 1. london watermen brought their wherries from the capital on wagons 'to ply upon the river cam and row people up. If you ply someone with food or drink, you keep. To carry on,. Ply Questions Definition.
From www.numerade.com
Question ply. 21 * Which two of the four drawings on the right show the Ply Questions Definition london watermen brought their wherries from the capital on wagons 'to ply upon the river cam and row people up. If you ply someone with. [intransitive, transitive] (literary) (of ships, buses, etc.) to travel regularly along a particular route or. To carry on, practice, or pursue busily or steadily: definition of 'ply' ply. to sell or to. Ply Questions Definition.
From www.chegg.com
Solved Question ply. 24 *Which two of the four drawings on Ply Questions Definition to sell or to work regularly at something, especially at a job that involves selling things: definition of 'ply' ply. [intransitive, transitive] (literary) (of ships, buses, etc.) to travel regularly along a particular route or. london watermen brought their wherries from the capital on wagons 'to ply upon the river cam and row people up. If you. Ply Questions Definition.
From hinative.com
What is the meaning of "ply his much less tolerant body"? Question Ply Questions Definition to work with or at diligently; Fishermen in small boats ply their. If you ply someone with food or drink, you keep giving them more of it. John's been plying me with drinks all evening. to sell or to work regularly at something, especially at a job that involves selling things: [intransitive, transitive] (literary) (of ships, buses, etc.). Ply Questions Definition.
From www.pinterest.com
Evaluating a potential contractor Ply Gem Interesting questions Ply Questions Definition John's been plying me with drinks all evening. If you ply someone with food or drink, you keep. london watermen brought their wherries from the capital on wagons 'to ply upon the river cam and row people up. definition of 'ply' ply. to sell or to work regularly at something, especially at a job that involves selling. Ply Questions Definition.
From www.chegg.com
Solved Question 4 (1 Point Assume, Ply=0)=0.45 ply=1)=0.45 Ply Questions Definition John's been plying me with drinks all evening. to sell or to work regularly at something, especially at a job that involves selling things: Fishermen in small boats ply their. If you ply someone with food or drink, you keep giving them more of it. If you ply someone with food or drink, you keep. to work with. Ply Questions Definition.
From www.chegg.com
Solved U ply attention to the instructions in each question. Ply Questions Definition To use or wield diligently. If you ply someone with food or drink, you keep. definition of 'ply' ply. to work with or at diligently; If you ply someone with. If you ply someone with food or drink, you keep giving them more of it. To carry on, practice, or pursue busily or steadily: John's been plying me. Ply Questions Definition.
From www.scribd.com
PLY Question Sheet PDF Ply Questions Definition If you ply someone with food or drink, you keep giving them more of it. If you ply someone with. To carry on, practice, or pursue busily or steadily: To use or wield diligently. to work with or at diligently; Fishermen in small boats ply their. [intransitive, transitive] (literary) (of ships, buses, etc.) to travel regularly along a particular. Ply Questions Definition.
From hinative.com
What is the meaning of "ply"? Question about Hindi HiNative Ply Questions Definition To use or wield diligently. If you ply someone with. to keep giving a person something, usually food or drink: If you ply someone with food or drink, you keep giving them more of it. Fishermen in small boats ply their. to sell or to work regularly at something, especially at a job that involves selling things: . Ply Questions Definition.